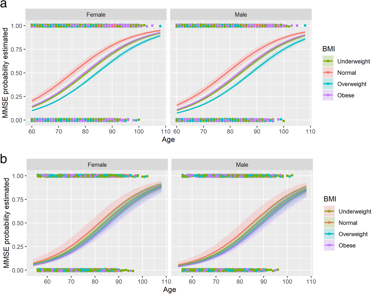
Fig. 2From: Body mass index, performance on activities of daily living and cognition: analysis in two different populationsImpairment in the MMSE for the different BMI levels for (a) Colombia and (b) Korea. Higher IADL indicates more impairment. MMSE: Mini mental state examinationBack to article page